|
Objective
The purpose of this assignment is to estimate the hydraulic loading rate on a
filter and to determine the required backwash velocity and
the depth of the expanded medium bed in a sand filter.
Part 1: Using the
data obtained
in the first week of
water filtration lab,
present, analyze, and discuss the data. Your data should be presented in
graphical form. Remember that Ms.
Ashman is not an engineerexplain the concepts in terms that will help her
understand the data and make an informed choice about the filter.



Part 2: Consider the filters in the lab using only sand as the filter
medium. The flowrate through the filter is 1,300 ml/min, the diameter of the
filter is 3.5 inches, the depth of the filter bed is 9 in., the sand has a
particle diameter of 0.5 mm or 0.02 inches with a settling velocity of 0.27
ft./s, and the porosity of the sand is 0.30.
-
Determine the hydraulic loading rate in gpd/ft2.



- Based on hydraulic loading rate, classify the filter as either a slow
sand filter or a rapid sand filter.
For a hydraulic loading rate
of 7,401 gpd/ft.2
- rapid sand filter
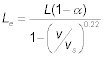
-
Determine the required backwash velocity to expand the sand filters in lab to
a porosity of 0.80.


-
Determine the depth of the expanded filter bed.


Part 3: Develop the equations to describe how to compute
filter efficiency
(see the
project description for more details). Write this section as if it would be
cut-and-pasted into your Project #3 report.
The Total Volume treated is the sum of the all the Incremental Volume
collected during the 90-minute filter run.
|
(1) |
where
|
(2) |
where FLowratei-1
is the flowrate (ml/min) at time interval i-1 and Timei
is the time increment (minutes).
The Average Turbidity is calculated using the
following equations:
|
(3) |
where
|
(4) |
where Turbidityi is the recorded
turbidity at time i.
The Filter Efficiency of the filter is measured as:
|
(5) |
where
|
(6) |
Part 4: Read Chapter 12 in the
Strategies for Creative Problem Solving by Fogler and LeBlanc.
This website was originally
developed by
Charles Camp for
CIVL
1101.
This site is
Maintained by the
Department of Civil Engineering
at the University of Memphis.
Your comments and questions are welcomed.
|